головнаконтактна інформація
Персонал - журнал інтелектуальної еліти РУБРИКИ
№ 4/2007 
Персонал № 4/2007
архів номерів
рік: 2008   2007   2006   2005   
2004   2003   2002
Аналітичний щотижневик Персонал-плюс







Визначення професійного рівня закладів освіти в перенавчанні незайнятого населення

Юрій БРАЖНИК

З метою підвищення якостіпрофесійного навчання наринку освітніх послуг необхідно впровадження інноваційних методів надання знаньпрацездатно-активному, зокрема незайнятому населенню,розробки єдиних стандартів,що в своїй основі мають ґрунтуватись на факторі компе-тентності, але із врахуванням рівня якості підготовки в то-му чи іншому навчальномузакладі. Необхідно розробитимеханізм, який би відображав реальний стан надання професійної освіти навчальними закладами через формування оптимальної кількості критеріїв [1].

Після закінчення професійного навчання працевлаштовується в середньому лише 60 відсотків випускників. У 2005 р. було профінансовано 90,4 млн грн витрат з Фонду на професійне навчання, перенавчання та підвищення кваліфікації безробітних, проте майже половина цих коштів витрачена неефективно [2]. Тому для поліпшення

роботи цих спеціалізованих навчальних закладів потрібно створити й реалізовувати нову концепцію визначення їх ефективності надання знань, особливо якщо фінансування здійснюється із бюджету. Нами запропоновано впровадити зазначене визначення з використанням методів математичного моделювання, а саме теорії «нечітких множин».

Основою для одержання даних, що моделюють взаємозв'язок інтегрального і часткових показників вибору рейтингу навчального закладу для здобуття професійної освіти безробітними громадянами із центрів зайнятості, є думки експертів, які спеціалізуються в цій сфері. Особливість висловлювань на зразок «ЯКЩО — ТО — ІНАКШЕ», які формуються на сукупності думок, полягає в тому, що їхня адекватність, на відміну від кількісних моделей, не змінюється за умови незначних коливань вхідних оцінок у той чи іншій бік. Сукупність подібних висловлювань є множиною точок у просторі «часткові критерії — інтегральний критерій». За фіксованими лінгвістичними оцінками часткових критеріїв вибору рейтингу навчального закладу центрами зайнятості оцінюється інтегральний критерій.

Експертна оцінка формалізується у вигляді відповідей на запитання експертної анкети і передбачає такі варіанти підсумкового висновку експерта (приведемо приклад вибору навчального закладу центром зайнятості): d1 (або значення потрапляє в інтервал 1-3) — центр зайнятості може відхилити пропозицію навчального закладу щодо професійного навчання в ньому безробітних громадян, d2 (значення інтервалу 3-4) — центр зайнятості бере до уваги пропозицію, d3 (значення лежить в інтервалі 4-5) — у цьому разі можна підписувати договір з навчальним закладом на проходження професійного навчання працездатно-активного населення.

Детальніше розглянемо конкретні параметри пропонованої моделі та обґрунтуємо склад факторів, які мають бути визначені при виборі показника (R), який залежить від таких факторів:

де X вартість навчання;

Y якість навчання;

Z — тривалість навчання.

На наш погляд, показник «вартість навчання» (2) слід розглядати за такими факторами:

де x 1 безпосередня вартість навчання одного слухача;

х2 — забезпечення слухачів під час навчання житлом.

Показник «безпосередня вартість навчання одного слухача» оцінюється центрами зайнятості. Вартість навчання встановлюється навчальними закладами за кошторисом витрат на професійну перекваліфікацію безробітних громадян.

Фактор х2 «забезпечення безробітних громадян житлом під час навчання» або «забезпечення проживання безробітних у період проходження професійного навчання на базі навчального закладу» рекомендовано оцінювати такими параметрами: наявність у навчального закладу гуртожитку; можливість навчального закладу забезпечити житло в іншому місці (за погодженням з центром зайнятості); а також — наявність їдальні, транспортна доступність тощо.

«Якість навчання» оцінюється лінгвістичною змінною (Y), яка виражається співвідношенням:

де y 1 — рівень працевлаштування після закінчення навчання;

y2 — рівень отримання знань (компетентності) слухачів;

y 3 — рівень задоволеності роботодавця професійністю слухача;

у4 — рівень задоволеності слухача викладачами.

Показник «рівень працевлаштування після закінчення навчання» аналізується центрами зайнятості на статистичних даних минулого періоду і визначається як співвідношення кількості слухачів, що працевлаштувались, до кількості слухачів, які проходили професійне навчання. Ті навчальні заклади, де рівень працевлаштування слухачів вищий, відповідно підвищують свій рейтинг.

Показник «рівень отриманих знань (компетентності) слухачів» оцінюється працівниками з центрів зайнятості, а також роботодавцями. Оцінюються знання і професійні навички, які здобули випускники в навчальному закладі, і здатність застосувати їх на практиці. Для об'єктивності бажано центрам зайнятості укладати договори з ресурсними центрами, які надаватимуть відповідні висновки.

Показник «рівень задоволеності роботодавця професійністю слухача» центри зайнятості аналізують на основі минулого досвіду шляхом проведення анкетування роботодавців через деякий проміжок часу після праці робітника (колишнього слухача). Анкетування дає можливість оцінити певний навчальний заклад за якістю підготовки робітника. Для забезпечення реалізації зазначеного механізму між центрами зайнятості і роботодавцями потрібно встановити тісний зворотний зв'язок і, відповідно, за опитуванням враховувати додаткові бали навчальному закладу.

Визначати показник «рівень задоволеності слухачів викладачами» (навчальним закладом) центрам зайнятості рекомендовано шляхом проведення анкетування слухачів за такими параметрами: задоволеність слухачів організацією навчально-методичного процесу; ставлення викладачів до самого процесу навчання; зрозумілість викладання матеріалів тощо.

Фактор тривалості навчання описується лінгвістичною змінною (Z), яка виражається співвідношенням:

де z 1 — середня тривалість навчання одного слухача;

z2 кількість слухачів, які самостійно оволоділи навчальним матеріалом.

Показник «середня тривалість навчання одного учня» актуальний при впровадженні в навчальний процес інноваційних методів професійного (у тому числі модульного) навчання безробітних громадян, які змінюють професію. Так, за традиційної системи тривалість його не може бути меншою від нормативної. Наприклад, для професії «Оператор комп'ютерного набору» вона становить 3,5 місяця, для професії «Кухар, кондитер» — 6 місяців. При застосуванні модульної технології професійного навчання тривалість навчання зменшується, що дає також додатковий бал при визначенні рейтингу навчального закладу.

Центром зайнятості здійснюється оцінка кількості слухачів, які змогли самостійно за допомогою навчального матеріалу (модульних блоків, навчальних елементів) його вивчити й отримати відповідні трудові навички, а також він може враховувати такі додаткові параметри, як проходження навчального процесу в зручному для учнів місці, в зручний час.

Крім того, обов'язковою вимогою щодо відбору рейтингу навчальних закладів повинні бути ліцензії на право ведення освітньої діяльності у відповідній галузі, а також наявність необхідної навчально-матеріальної бази, яка забезпечуватиме виконання програми професійного навчання незайнятих громадян.

Схема логічного висновку ієрархічних зв'язків факторів, які визначають вибір рейтингу навчального закладу центрами зайнятості, наведене на рис. 1, де основою є рейтинг навчального закладу, а відгалуженнями відповідно є фактори, що впливають на цей рейтинг: вартість, якість і тривалість навчання. Зазначені фактори не є остаточними і можуть бути доповнені в математичній моделі.

Оцінювання значень лінгвістичних змінних, що наведені в співвідношеннях 1–4, виконуються за допомогою системи якісних термів, кількість яких для кожної окремої змінної може бути різною (табл. 1).

Таблиця 1. Характеристика факторів як лінгвістичних змінних у моделі вибору рейтингу навчальних закладів центрами зайнятості

Позначення та назва змінної

Універсальна множина

Терми для оцінки

Х1 — Безпосередня вартість навчання одного слухача

50–150 %

Низька (Н), нижча від середньої (Нс), середня (С), вища від середньої (Вс), висока (В)

Х2 — Забезпечення безробітних громадян житлом під час навчання

1–5 балів

Забезпечується (3), сприяє у поселенні в іншому місці (Сп), не забезпечується (Нз)

У1 — Рівень працевлаштування після закінчення навчання

50–100 %

Низький (Н), середній (С), високий (В).

У2 — Рівень отриманих знань (компетентності) слухачів

1–12 балів

Низький (Н), нижчий від середнього (Нс), середній (С), вищий від середнього (Вс), високий (В)

У3 — Рівень задоволеності роботодавця слухачем

1–5 балів

Низький (Н), середній (С), високий (В).

У4 — Рівень задоволеності слухача викладачами

1–5 балів

Низький (Н), середній (С), високий (В).

Z1 — Середня тривалість навчання одного учня

0–6 місяців

Менша за нормативний термін (Мн), нормативний термін (Н), більша за нормативний (Бн)

Z2 — Відсоток слухачів, які самостійно оволоділи навчальним матеріалом у процесі навчання

0–100 % групи

Не оволоділи (нО), оволоділи менше половини групи (Омп), оволоділа половина групи (Опг), оволоділа більша частина групи (Обч), всі оволоділи (Ов).

Узагальнений алгоритм оцінки рейтингу навчального закладу центрами зайнятості такий:

•   побудова схеми логічного висновку, яка визначить послідовність подальших розрахунків наведена на Рис. 1, де одинарними колами позначено фактори, що впливають на оцінку рейтингунавчального закладу, які зведено в табл. 1;

•    фазифікація вхідних змінних: задаєтьсятерм-множина для оцінки кожної змінної та будуються функції належності кожного терму надискретній універсальній множині. Використовуючи ці функції належності, формуючи базизнань, отримуємо аналітичні моделі функцій належності термів;

•     задаються нечіткі бази знань для співвідношень (1–4) та задаються значення всіх вхідних змінних;

•     обчислюються значення функцій належності термів — оцінок для всіх змінних і згідно із логічними рівняннями (1–4) значення функцій належності для всіх нетермінальних вершин;

•     обчислюються значення функцій належності для термів комплексного показника оцінки рейтингу навчального закладу та за допомогою дефа-зифікації нечіткої множини визначається ранг конкретного проекту.

Детальніше розглянемо побудову функцій належності на прикладі фактора х1 — «безпосередня вартість навчання одного слухача». Для лінгвістичної оцінки фактора х1 використовується множина нечітких термів (низька, нижче середньої, середня, вище середньої). Універсальна множина, на якій задається параметр х1, U(x1) = (50–150)%. Матриця, що відображає парні порівняння різних значень безпосередньої вартості навчання одного слухача з точки зору їх близькості до терму «низька», має такий вигляд:

Елементи останнього рядка даної матриці визначались експертним шляхом, решта елементів — відповідно до правил, наведених у роботі (1), де також подано розрахунок ступеня належності елементів u1... u5 до терму «низька» (µ (ui)), значення яких наведено в табл. 1. Аналогічно будуються матриці парних порівнянь для решти тер-мів, кінцеві результати ступенів належності елементів до яких для параметра «безпосередня вартість навчання одного слухача» також наведена в табл. 2.

Таблиця 2. Ступені належності елементів до термів

Ступені належності елементів до термів

Елементи

u1

u2

u3

u4

u5

µ низький (uі)

0,36

0,28

0,20

0,12

0,04

µ нижчий від середнього (u)

0,226

0,29

0,226

0,161

0,097

µ середній (uі)

0,152

0,212

0,273

0,212

0,152

µ вищий від середнього (u і)

0,097

0,161

0,226

0,29

0,226

µ високий (uі)

0,04

0,12

0,20

0,28

0,36

Отримані результати функцій належності нормуються шляхом ділення на найбільший ступінь належності. Внаслідок цього фактор «безпосередня вартість навчання одного слухача» представлений у вигляді таких нечітких множин. Наведемо приклад розрахунку для терму «низька»:

безпосередня вартість навчання одного слухача «низька»:

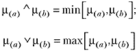
Визначення рейтингу навчального закладу центрами зайнятості за відомими значеннями факторів, від яких він залежить, здійснюється за допомогою нечітких логічних рівнянь, які зв'язують функції належності різних рівнів висновку вхідних та вихідних змінних, що наведені на схемі логічного висновку (див. рис. 1). Для складання нечітких логічних рівнянь задаються бази знань у вигляді експертних висловлювань про зв'язки нечітких термів вхідних та вихідних лінгвістичних змінних у співвідношеннях (1–4). Лінгвістичним висловлюванням відповідають отримані нечіткі логічні рівняння на відповідному ієрархічному рівні: системному, вартості навчання, якості навчання, тривалості навчання, зв'язують функції належності вхідних і вихідних змінних, що обумовлено використанням при їх побудові операцій «mах» та «min». Тобто логічні операції «І» (^) та «АБО» ( ) над функціями належності замінюються на операції «mах» та «min» [3]:

Розглянутий алгоритм використовує ідею ідентифікації лінгвістичного терму за максимумом функції належності і узагальнює цю ідею на всю матрицю знань. Якщо вхідний параметр змінюється неперервно, то функції належності не можуть бути використані. Вхідна змінна може приймати значення не тільки Ui, але й проміжні (Ui*). Для отримання аналітичних виразів таких функцій належності застосовується рівняння прямої, яка проходить через точки з координатами (Ui, µі) та (Ui+1, µі+1), [3, с. 79].

Використовуючи функції належності та відповідні формули, знаходимо аналітичні моделі функцій належності оцінок вхідних змінних для всіх термів.

Наведено параметри рівнянь моделей функцій належності. Оскільки бувають випадки, коли максимальні функції належності однакові для двох сусідніх термів і це ускладнює ранжування проектів, для більшої наочності пропонується інтервал змін вхідного параметра — показника оцінки рейтингу навчального закладу центрами зайнятості — розглядати як неперервний і ранжувати проекти по заданій шкалі (D1: D2). Для отримання чіткого числа, що відповідатиме рангу проекта, у цьому інтервалі слід застосовувати операцію дефазифікації, тобто операцію перетворення нечіткої інформації в чітку або кількісну.

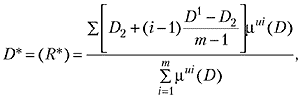
Розрахунок нечіткої логічної множини D* наведено для показника комплексної оцінки рейтингу навчального закладу центрами зайнятості в заданій точці факторного простору.

Тоді згідно з принципом центру ваги дефазифі-кація нечіткої множини дає кількісну оцінку D* — ранг показника комплексної оцінки рейтингу навчального закладу центрами зайнятості при заданих вхідних факторах (5):

де m — кількість термів змінної В;

D1, D2 — нижня та верхня межа діапазону змінної D;

µui (D) — функція належності змінної D нечіткому терму Uі.

Розглянемо приклад, за якого один із навчальних закладів подав заявку в центр зайнятості на участь у тендері щодо здійснення професійного навчання безробітних громадян з врахуванням вхідних даних, наведених у Табл. 3, в результаті чого був оцінений рейтинг навчального закладу центрами зайнятості.

Таблиця 3. Значення вхідних факторів

Фактор

Значення

Одиниця виміру

Фактор

Значення

Одиниця виміру

Х1

100

%

У3

4

балів

Х2

5

балів

У4

3

балів

У1

75

%

Z1

3

місяці

У2

8

балів

Z2

80

%

Відповідно до побудованих функцій належності кожного терму на дискретній універсальній множині логічними рівняннями (1–4) значень функцій належності для всіх нетермінальних вершин отримано значення функцій належності термів-о-цінок для всіх змінних, та значення функцій належності для всіх нетермінальних вершин.

Приймаємо шкалу для ранжування рейтингу за комплексним показником прийнятності від 1 до 5. Розбиваючи цей інтервал на три рівних проміжки, одержуємо інтервали, відповідні трьом рішенням щодо оцінки рейтингу навчального закладу (d1, d2, d3), у відповідності до (5):

Запропонована модель, на наш погляд, дозволить оптимально і раціонально оцінити й вибрати ті навчальні заклади, які зможуть організувати професійне навчання, перенавчання та підвищення кваліфікації економічно активного населення в комплексі з урахуванням таких важливих факторів: як вартість, якість і тривалість навчання і з ефективністю вкладати державні кошти в них.

Література

1.  Заюков І. Механізм вибору рейтингу навчальних закладів центрами зайнятості // Економіка: проблеми теорії та практики: Зб. наук. пр. — Дніпропетровськ, 2005. — Вип. 210. — С. 571–576.

2.     Звіт про діяльність фонду загальнообов'язкового державного соціального страхування України та випадок безробіття // Урядовий кур'єр. — 2005. — № 7. — С. 14.

3.  Ротштейн О. П., Ларюшкін Е. П., Катєльніков Д. І. Бага-тофакторний аналіз технологічного процесу біоконверсії на основі лінгвістичної інформації // Вісник ВПІ. — 1997. — № 3. — С. 38–45.



передплатний індекс 09881 про видання | реклама у виданні | контакти | попередня версія сайту