головнаконтактна інформація
Персонал - журнал інтелектуальної еліти РУБРИКИ
№ 6/2006 
Персонал № 6/2006
архів номерів
рік: 2008   2007   2006   2005   
2004   2003   2002
Аналітичний щотижневик Персонал-плюс







До проблеми: статистичне забезпечення кредитного ринку (закінчення)

Валерій ЗАХОЖАЙ,
доктор економічних наук, професор, директор ІМЕФ

Оцінювання і управління кредитним ризиком

Ринкова трансформація економіки України в усіх сферах діяльності, зокрема в банківській, пов'язана зі значними труднощами і суперечностями. Переважну частину прорахунків, які виникають у цьому процесі, можна було б уникнути за наявності своєчасної та достатньої інформації про механізм формування банківських ризиків. Останні полягають у невизначеності результатів діяльності і можливих несприятливих наслідках. Звідси — актуальність розробки науково обґрунтованого методичного забезпечення дослідження ризиків банківської діяльності на різних рівнях управління.

Через специфіку банків особливо важливий у системі банківських ризиків кредитний ризик, пов'язаний із кредитною діяльністю банків.

Кредитний ризик — імовірність неповернення позичальником отриманого кредиту та відсотків за користування позикою внаслідок фінансових ускладнень, фінансового краху чи шахрайства.

Управління ризиками — це процес, за допомогою якого банк виявляє (ідентифікує) ризики, оцінює їхні величини, здійснює їх моніторинг і контролює свої ризикові позиції, а також ураховує взаємозв'язки між різними категоріями (видами) ризиків. Комплекс дій із ризик-менеджменту повинен забезпечити досягнення таких цілей:

•     ризики мають бути зрозумілими й усвідомленими банком та його керівництвом;

•     ризики повинні перебувати у межах рівнів толерантності, встановлених спостережною радою;

•     рішення щодо прийняття ризику мають відповідати стратегічним завданням діяльності банку;

•     рішення з прийняття ризику повинні бути конкретними та чіткими;

•     очікуваною дохідністю слід компенсувати прийнятий ризик;

•     розподіл капіталу має відповідати розмірам ризиків, на які наражається банк;

•     стимули до досягнення високих результатів діяльності слід узгоджувати з рівнем толерантності до ризику.

Із погляду ризик-менеджменту банківська діяльність зводиться до прийняття ризику й отримання за це відповідної компенсації (економічної вигоди).

Мета управління ризиками — сприяти підвищенню вартості власного капіталу банку, водночас забезпечуючи досягнення цілей багатьох заінтересованих сторін, а саме:

•     клієнтів і контрагентів;

•     керівництва;

•     працівників;

•     спостережної ради й акціонерів (власників);

•     органів нагляду;

•     рейтингових агентств, інвесторів і кредиторів;

•     інших сторін.

Аналіз ризиків має охоплювати всі продукти, послуги та процеси банку, передбачати якісне оцінювання відповідних ризиків і, де можливо, — оцінювання їхніх кількісних параметрів. Керівництво банку повинно знати результати аналізу ризиків та зважати на них у своїй роботі.

Аналіз ризиків — це безперервний процес, який має враховувати:

•     зміни внутрішніх та зовнішніх умов;

•     нові продукти, послуги, процеси;

•     плани на майбутнє.

У результаті аналізу ризиків можна дійти висновку: або ризики певного банку не відповідають чи перестали відповідати обраним параметрам, або обрані параметри ризиків не відповідають чи перестали відповідати завданням і стратегії банку. Може також виявитися, що організаційна структура і механізми контролю банку не узгоджуються зі змінами в параметрах ризиків. Тому оцінювання ризиків має супроводжуватися можливим переглядом завдань, обраної стратегії та розробленої організаційної структури й механізмів контролю.

Аналіз ризиків може виявити ризики, які не були виявлені раніше та (або) не можна мінімізувати за допомогою відповідних процедур і заходів контролю. У такому разі банк має прийняти рішення щодо прийнятності даних ризиків та доцільності майбутнього здійснення видів діяльності, які ці ризики спричиняють.

Кредитний ризик тісно пов'язаний з іншими ризиками, зокрема ризиком ліквідності, відсотковим і валютним. Наявність у кредитному портфелі банку значного обсягу проблемних кредитів і зниження ринкової вартості кредитного портфеля призводять до зменшення капіталу. Це може спричинити відплив коштів клієнтів та інвесторів банку, тобто втрату ліквідності. Для покриття дефіциту ліквідності банк повинен залучати кошти на грошовому ринку в щоразу більших розмірах і за більшою ціною. Зростає відсотковий ризик. Для покриття ліквідності банк змушений продавати ліквідні активи, зокрема валютні кошти, що змінює валютну позицію банку і збільшує валютний ризик.

Кредитний ризик виникає не тільки стосовно кредитів, а й інших балансових і позабалансових статей: банківська гарантія, акцепт, вкладення в цінні папери.

Згідно зі світовими стандартами, на підставі економічних умов України, можна умовно визначити три моделі поведінки банків на кредитному ринку.

1.   Частка кредитів у загальному обсязі працюючих активів банку становить близько 30% — банк здійснює вкрай обережну кредитну політику та забезпечує свою прибутковість проведенням менш ризикованих активних операцій. Унаслідок цього він втрачає значний сегмент фінансового ринку. Таке співвідношення дуже бажане для нового банку, який не має своєї клієнтури й досвіду роботи.

2.   Частка кредитів в обсязі працюючих активів на рівні 30–50%, тож банк проводить зважену кредитну політику. Це характерно для стабільних і надійних банків, які працюють із високим рівнем прибутку.

3.   Частка кредитів в обсязі працюючих активів понад 50% — банк проводить агресивну політику на ринку. Така політика може бути обґрунтована тільки надмірними прибутками і не повинна бути постійним явищем. Причому чим вища частка та триваліший період, тим вищий рівень ризику.

Сукупний кредитний ризик розподіляється (концентрується) за такими напрямами:

•     ризик концентрації в розподілі за видами бізнесу (корпоративний, індивідуальний, між-банківський тощо);

•     ризик концентрації в розподілі по споріднених і системних клієнтах, пов'язаних із банком через відносини власності, або за рахунок можливості здійснювати контроль над банком, що може спричинити значні проблеми, оскільки кредитоспроможність таких позичальників не завжди визначено об'єктивно;

•     ризик концентрації в розподілі по клієнтах, галузях, регіонах тощо. Значні позички, надані одному позичальнику або групі взаємопов'язаних позичальників, часто є причиною проблем у банку щодо концентрації кредитного ризику. Значні концентрації ризику можуть виникати і внаслідок кредитування підприємств однієї галузі, сектора економіки, одного географічного регіону або великої кількості позичальників з іншими загальними характеристиками, що робить їх уразливими щодо впливу загальних несприятливих чинників.

Банківська система — одна з найважливіших та обов'язкових структур ринкової економіки, її ефективне функціонування стає запорукою успіху проведення економічних реформ у сучасних умовах. На відміну від країн із адміністративною економікою, де державний банк відіграє монопольну роль в усьому комплексі грошових і кредитних відносин, для країн із розвинутим ринком характерною є дворівнева банківська система. Центральний банк у цих країнах — вершина банківської системи. Він створює сприятливі умови для її функціонування та розвитку і має вирішальний вплив на стабільність національної валюти, надійність банківських установ, дієвість платіжно-розрахункового механізму, що загалом визначає ефективність функціонування всієї економіки країни.

Згідно з чинним законодавством, Національний банк України є Центральним банком держави, який стоїть на першому рівні банківської системи і виконує резервні функції. Він у своїй діяльності підзвітний лише Верховній Раді України і має право законодавчої ініціативи.

Незалежність грошово-кредитної політики центрального банку забезпечує розв'язання трьох основних питань: довіри до грошово-кредитної політики, ефективності досягнення центральним банком цілей його діяльності, встановлення грошової стабільності. Ці проблеми мають певний взаємозв'язок. Незалежність центрального банку дає змогу здійснювати незалежну грошово-кредитну політику, що підвищує рівень довіри до неї населення та суб'єктів господарювання, а це, в свою чергу, впливає на її ефективність.

Основними завданнями Національного банку України у проведенні грошово-кредитної політики є створення умов фінансової стабілізації в державі із забезпеченням стабільності національної грошової одиниці та підтримка макроекономічної стабілізації через зниження темпів інфляції.

Це забезпечує система нормативів ризику, пов'язаного з кредитною діяльністю.

Нижче наведені нормативи мінімального ризику на одного позичальника (Н8) розраховуються за формулою

Н8с / K·100%,

де Зс — сукупна заборгованість за позиками, міжбанківськими кредитами та врахованими векселями одного позичальника і 100% суми позабалансових зобов'язань, виданих цьому позичальнику;

К — капітал банку.

Загальна сума зобов'язань будь-якого позичальника перед банком у результаті надання останнім одного або кількох кредитів не повинна перевищувати 25% капіталу банку. Цей норматив має обмежувати кредитний ризик для банку, що відображається в диверсифікації його кредитних ресурсів обмеженням ризику на одного позичальника.

Нормативи «великих» кредитних ризиків (Н9) установлюються як відношення сукупного розміру великих кредитних ризиків (Ск) до капіталу банку (К):

Н9=Ск / K·100%,

Значення нормативу Н9 не повинно перевищувати 8.

Норматив максимального розміру кредитів, гарантій і поручительств, наданих одному інсайдеру (Н10), розраховують за формулою

Н10к1 / K·100%,

де Рк1 — сукупний розмір наданих банком кредитів, гарантій, поручительств, урахованих векселів та 100% суми позабалансових зобов'язань стосовно одного інсайдера, тобто особи, так чи інакше пов'язаної з банком (акціонерам банку, керівництву підрозділів, їхнім родичам та ін.).

Значення показника Н10 не повинно перевищувати 5%.

Норматив максимального розміру кредитів, гарантій і поручительств, наданих інсайдерам (Н11), розраховують за формулою

Н11к / K·100%,

де Рк — сукупний розмір наданих банком кредитів, гарантій, поручительств, зарахованих векселів і 100% суми позабалансових зобов'язань стосовно всіх інсайдерів банку.

Значення нормативу Н11 не повинно перевищувати 40%.

Норматив максимального розміру наданих міжбанківських позик (Н12) розраховують за формулою

Н12=МБВ/ K·100%,

де МБВ — загальна сума наданих банком між-банківських позик.

Значення показника не повинно бути більше 200%.

Норматив максимального розміру одержаних міжбанківських позик (Н13) має обмежувати діяльність банку щодо залучення значних міжбанківських кредитів. Його розраховують за формулою

Н13=МБп І ЦС/ K·100%,

де МБп — загальна сума наданих банком між-банківських кредитів,

ЦС — загальна сума залучених централізовано коштів.

Значення нормативу не повинно бути більше 300%.

Порівняльна оцінка ризику кредитних операцій, здійснюється за групами цих операцій порівняно з іншими видами банківських операцій.

Обсяг реальних втрат від неповернення кредитів може бути зменшений диверсифікацією кредитного портфеля через:

•     залучення великої кількості позичальників із різними формами власності, із різних регіонів;

•     різноманітності умов надання позик (термін, відсоткова ставка, порядок повернення кредиту та відсотків, застава тощо).


Отже, диверсифікація є засобом зменшення ризику. Розрізняють диверсифікацію портфельну і географічну. Портфельна диверсифікація означає розподіл кредитів між численними клієнтами, включаючи великі і дрібні фірми, різноманітні галузі тощо. Географічна диверсифікація досягається залученням клієнтів із різних географічних районів. Така форма диверсифікації зменшує ризик, коли доходи, одержані від різних груп клієнтів, змінюються в часі, в різних напрямах. У цьому разі зменшення доходів, що надходять від однієї групи клієнтів, компенсується збільшенням доходів від іншої.

Фактична оцінка кредитного ризику у фінансовому вираженні визначається впливом кредитного ризику на фінансовий результат.

Р2кр = РСР ФСР .

Ризик втрати основних сум кредитів Р1кр, непокритих страховими резервами, визначається як різниця між розрахунковою РСР (згідно із формою статистичної звітності № 604) та фактичною ФСР сумами страхового резерву, виходячи зі структури класифікованих кредитів:

Ризик втрати відсотків доходів Р2кр розраховується як сума прострочених нарахованих доходів.

Загальний абсолютний кредитний ризик:

Р1 = Р1кр + Р2кр .

Розрахунок необхідної величини резерву РСР проводять у такій послідовності.

Визначається класифікація позичальників за результатами оцінки їхнього фінансового стану з урахуванням таких чинників:

•     фінансовий стан позичальника;

•     стан виконання зобов'язань за кредитними операціями, зокрема погашення основної суми боргу та відсотків за ним відповідно до умов кредитної угоди;

•     рівень забезпечення кредиту;

•     кредитний рейтинг тощо.

За результатами класифікації позичальників поділяють на п'ять класів: А, Б, В, Г, Д.

Клас «А» — фінансова діяльність дуже успішна (прибуткова і рівень рентабельності вищий, ніж середньогалузевий, якщо такий визначається), що свідчить про можливість своєчасного виконання зобов'язань за кредитними операціями, зокрема погашення основної суми боргу і відсотків за ним відповідно до умов кредитної угоди; економічні показники у межах установлених значень (відповідно до методики оцінювання фінансового стану позичальника, затвердженої внутрішніми документами банку); вище керівництво позичальника і сам позичальник мають бездоганну ділову репутацію. Забезпечення за кредитною операцією має бути першокласним. Немає жодних свідчень щодо можливих затримок із повернення основної суми боргу та/або зі сплатою відсотків. Можна зробити висновок, що фінансова діяльність і надалі проводитиметься на такому ж високому рівні.

Клас «Б» — фінансова діяльність позичальника цієї категорії близька за характеристиками до класу «А» (тобто фінансова діяльність успішна або дуже успішна, рентабельність на середньогалузевому рівні, якщо такий визначається, окремі економічні показники погіршились або мають незначні відхилення від мінімально прийнятних значень), але ймовірність підтримування її на цьому рівні впродовж тривалого часу є низькою.

Позичальники (контрагенти банку) цього класу потребують більшої уваги через потенційні недоліки, що ставлять під загрозу достатність надходжень коштів для обслуговування боргу та стабільність одержання позитивного фінансового результату їхньої діяльності.

Забезпечення кредитної операції не повинно викликати жодних сумнівів (щодо оцінки його вартості, правильності оформлення угод про забезпечення кредитних операцій тощо). Аналіз коефіцієнтів фінансового стану позичальника може вказувати на негативні тенденції в його діяльності. Недоліки в діяльності позичальників класу «Б» повинні бути лише потенційними. За наявності реальних недоліків клас позичальника потрібно знизити.

Клас «В» — фінансова діяльність задовільна (рентабельність нижча, ніж середньогалузевий рівень, якщо такий визначається, деякі економічні показники не відповідають мінімально прийнятним значенням) і потребує пильнішого контролю.

Надходження коштів та платоспроможність позичальника свідчать про ймовірність несвоєчасного погашення кредитної заборгованості у повній сумі і в строки, передбачені договором, якщо недоліки не буде усунено. Проблеми можуть стосуватися стану забезпечення за кредитними операціями, необхідної документації, що свідчить про наявність і ліквідність застави, тощо.

Клас «Г» — фінансова діяльність незадовільна (економічні показники не відповідають установленим значенням) і спостерігається її нестабільність упродовж року; є високий ризик значних збитків; імовірність повного погашення кредитної заборгованості та відсотків за нею низька.

Під час проведення наступної класифікації, якщо немає безсумнівних підтверджень покращити впродовж одного місяця фінансовий стан позичальника або рівень забезпечення за кредитною операцією, позичальника потрібно класифікувати на клас нижче (клас «Д»). Позичальника, якому видано кредит під сумнівне забезпечення або без забезпечення та якого зараховано до цього класу на підставі оцінки його фінансового стану, потрібно класифікувати на клас нижче (клас «Д»).

Клас «Д» — фінансова діяльність незадовільна, є збитки; кредитна операція не забезпечена ліквідною заставою (або безумовною гарантією), показники не відповідають установленим значенням, імовірність виконання зобов'язань з боку позичальника/контрагента банку практично відсутня.

У процесі класифікації за кредитним ризиком виділяється кілька груп кредитних операцій.

«Стандартні» кредитні операції — операції, за якими кредитний ризик незначний і становить 20% чистого кредитного ризику.

«Під контролем» — кредитні операції, за якими кредитний ризик незначний, але може збільшитися внаслідок виникнення несприятливої для позичальника ситуації, і становить 5% чистого кредитного ризику.

«Субстандартні» кредитні операції — операції, за якими кредитний ризик великий, надалі може збільшуватись і становить 20% чистого кредитного ризику, а також є імовірність несвоєчасного погашення заборгованості в повній сумі та у строки, передбачені кредитним договором.

«Сумнівні» кредитні операції — операції, за якими виконання зобов'язань з боку позичальника/контрагента банку в повній сумі (з урахуванням фінансового стану позичальника та рівня забезпечення) під загрозою, імовірність повного погашення кредитної заборгованості низька і становить 50% чистого кредитного ризику.

«Безнадійні» кредитні операції — операції, імовірність виконання зобов'язань за якими з боку позичальника/контрагента банку (з урахуванням фінансового стану позичальника та рівня забезпечення) практично відсутня, ризик за такими операціями дорівнює сумі заборгованості за ними.

Вихідними даними для оцінки кредитного ризику є:

•     ступінь ризику (rі), який диференціюється в розподілі за ступенем ризику;

•     обсяги кредитів у цьому розподілі — КРі.

На основі цих показників розраховують обсяги класифікованих кредитів або кредитів з урахуванням ступеня ризику (КРкл) за формулою

Обсяги класифікованих кредитів є базою для визначення обсягу резервів на покриття ризиків за кредитними операціями.

На основі наведених даних здійснюється аналіз рівня ризику за окремими регіональними установами банку. Для цього розраховують середні рівні ризику по окремих установах, а також по банку в середньому за формулою

Чим більше значення r, тим ризикованіша кредитна діяльність.

Вище наведено дані про ризики кредитних операцій за один період. Водночас банк повинен знайти тенденції ризику, для чого проводять моніторинг відповідного динамічного ряду. Зокрема, у цьому велике значення має аналіз впливу динаміки ризику по окремих установах банку на відповідний показник в середньому по банку. Тому використовують індекси середнього рівня ризику змінного, фіксованого складу та структурних зрушень.

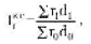
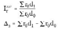
У розподілі по установах банку аналізують динаміку показників кредитного ризику на основі індексного методу. Індекс середнього рівня ризику змінного складу —

абсолютний розмір зміни рівня ризику —

де r1 — рівні ризику по окремих установах банку, d — частка обсягу кредитів окремих установ банку. Індекс фіксованого складу

показує зміну середнього рівня ризику тільки завдяки його динаміці по окремих установах банку.

Індекс структурних зрушень

показує вплив на динаміку середнього рівня ризику зміни розподілу загального обсягу кредитів між установами банку.

Взаємозв'язок між наведеними показниками:

•  між індексами — мультиплікативний:

•  між абсолютними змінами — адитивний:

Факторами, що формують динаміку обсягу класифікованих кредитів, а отже, і резервів на покриття ризику, є загальний обсяг кредитів і середній рівень ризику. Абсолютний розмір зміни класифікованих кредитів, за рахунок динаміки обсягу кредитів, розраховують за формулою

а завдяки динаміці рівня ризику —

Перевірка:

Для розробки управлінських рішень щодо рівня кредитного ризику важливо знати, які чинники і якою мірою впливають на його динаміку. Такими чинниками є обсяги класифікованих кредитів і загальний обсяг кредитів. Вплив на динаміку середнього рівня ризику кредитів динаміки класифікованих кредитів розраховують за формулою

вплив загального обсягу кредитів:

Взаємозв'язок:

Δr(кр)  + Δr(кркл) = Δr


* Закінчення. Початок у № 4, 5 за 2006 р.



передплатний індекс 09881 про видання | реклама у виданні | контакти | попередня версія сайту