головнаконтактна інформація
Персонал - журнал інтелектуальної еліти РУБРИКИ
№ 5/2006 
Персонал № 5/2006
архів номерів
рік: 2008   2007   2006   2005   
2004   2003   2002
Гноеуборочный конвеер ТСН - транспортер скребковый для гною ТСН. . napol.zp.ua . zapchastiny.com.ua
Аналітичний щотижневик Персонал-плюс







Дослідження самооцінки особистості

Тест

Це дослідження має два варіанти, що суттєво відрізняються за процедурою варіанта визначення самооцінки особистості. В обох випадках можна працювати як з одним досліджуваним, так і з групою.

Перший варіант дослідження

В основі дослідження самооцінки у цьому варіанті методики — спосіб ранжування. Процедура дослідження включає дві серії. Матеріалом, із яким працюють досліджувані, є надрукований на спеціальному бланку список слів, що характеризують деякі якості особистості. Кожен досліджуваний отримає такий бланк на початку дослідження. Під час роботи з групою досліджуваних важливо забезпечити сувору самостійність ранжування.

Перша серія

Завдання першої серії: виявити уявлення людини про якості свого ідеалу, тобто «Я» ідеальне. Для цього слова, що надруковані на бланку, досліджуваний повинен розташувати у порядку надання переваги.

Інструкція досліджуваному: «Прочитайте уважно всі слова, що характеризують якості особистості. Розгляньте ці якості з позиції притаманності їх ідеальній особистості, тобто на предмет корисності, соціальної значущості та бажаності. Для цього проранжуйте їх, оцінивши кожне балами від 20 до 1. Оцінку 20 поставте у бланку, в колонці № 1 зліва від тієї якості, яка, на вашу думку, є найкориснішою та бажаною для людей.

Оцінку 1 — у тій самій колонці № 1 зліва від якості, що найменш корисна, значуща та бажана. Ус і інші оцінки від 19 до 2 розташуйте відповідно до вашого ставлення до всіх інших якостей. Стежте, щоб жодна оцінка не повторювалась двічі».

Друга серія

Завдання другої серії: виявити уявлення людини про свої власні якості, тобто його «Я» реальне. Як і в першій серії, досліджуваного просять проранжувати надруковані на бланку слова, але вже з позиції характерності або присутності означуваних ними якостей особистості для себе.

Інструкція досліджуваному: «Прочитайте знову всі слова, що характеризують якості особистості. Розгляньте ці якості з позиції притаманності їх для вас. Проранжуйте їх у колонці № 2, оцінивши кожну від 20 до 1. Оцінку 20 — поставте праворуч від тієї якості, яка, на вашу думку, характерна для вас найбільше, оцінку 19 поставте тій якості, яка характерна для вас дещо менше, ніж перша, і т. д. Тоді оцінкою 1 у вас буде означена та якість, яка виражена у вас найменше. Стежте, щоб оцінки-ранги не повторювались двічі».

Бланк зі словами, що характеризують якості особистості, виглядає так:

Бланк

№ 1

Якості особистості

№ 2

d

d2

 

Поступливість

 

 

 

 

Сміливість

 

 

 

 

Запальність

 

 

 

 

Нервозність

 

 

 

 

Терплячість

 

 

 

 

Захопленість

 

 

 

 

Пасивність

 

 

 

 

Холодність

 

 

 

 

Ентузіазм

 

 

 

 

Обережність

 

 

 

 

Примхливість

 

 

 

 

Повільність

 

 

 

 

Нерішучість

 

 

 

 

Енергійність

 

 

 

 

Життєрадісність

 

 

 

 

Тривожність

 

 

 

 

Упертість

 

 

 

 

Безпечність

 

 

 

 

Сором'язливість

 

 

 

 

Відповідальність

 

 

 


Обробка результатів

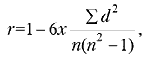
Мета обробки результатів: визначення зв'язку між ранговими оцінками якостей особистості, що входять в уяву «Я» ідеальне і «Я» реальне. Міру зв'язку встановлюють за допомогою коефіцієнта рангової кореляції Ч. Спірмена. Оцінки від 1 до 20 запропонованих якостей в обох рядах приймають за їх ранги. Різниця рангів, що визначають роль тієї чи іншої якості особистості, дає можливість порахувати коефіцієнт за формулою:

де п — кількість запропонованих якостей особистості (п=20),

d різниця номерів рангів.

Щоб порахувати коефіцієнт, необхідно спочатку підрахувати на бланку, в спеціально відведеній колонці, різницю рангів (d) для кожної запропонованої якості. Потім кожне отримане значення різниці рангів (d) зводять до квадрату та записують результат на бланку в колонці (d), сумують і суму (Еd2) вносять у формулу.

Якщо кількість якостей дорівнює 20, то формула має спрощений вигляд:

Коефіцієнт рангової кореляції (r) може перебувати в інтервалі від -1 до +1. Якщо отриманий коефіцієнт не менший від -0,37 і не більший за +0,37 (із r= 0,05), то це вказує на слабкий незначущий зв'язок (або його відсутність) між уявленнями людини про якості свого ідеалу та свої реальні якості. Такий показник може бути зумовлений недотриманням досліджуваним інструкції. Але якщо інструкція виконувалась, то слабкий зв'язок означає нечітке та недифе-ренційоване уявлення людиною свого ідеального «Я» і «Я» реального.

Значення коефіцієнта кореляції від +0,38 до +1 — свідчення   наявності   значущого позитивного зв'язку між «Я» ідеальним і «Я» реальним. Це можна трактувати як прояв адекватної самооцінки або, із r від +0,39 до +0, 89, тенденції до завищення. Але, значення від +0,9 до +1 часто виражають неадекватно завищену самооцінку. Значення коефіцієнта кореляції в інтервалі від -0,38 до -1 свідчить про наявність значущого негативного зв'язку між «Я» ідеальним та «Я» реальним. Він відображає несумісність або розходження уявлень людини про те, якою їй потрібно бути, і те, якою вона, за її уявленням, є насправді. Цю невідповідність пропонується інтерпретувати як занижену самооцінку. Чим ближчий коефіцієнт до -1, тим більший ступінь невідповідності.

Другий варіант дослідження

Другий варіант дослідження самооцінки заснований на способі вибору. Матеріалом є список слів, що характеризує певні якості особистості. Цей варіант дослідження також складається з двох серій.

Перша серія

Завдання першої серії: визначити список і кількість еталонних якостей бажаного та небажаного образу — Я. Досліджуваного просять переглянути слова зі списку та, вибравши, скласти два ряди. В один ряд потрібно записати слова, що означають якості особистості, які стосуються суб'єктивного ідеалу, тобто становлять «позитивну» множину, а в інший ряд — ті якості, що небажані, тобто становлять «негативну» множину.

Інструкція досліджуваному: «Подивіться уважно на список запропонованих слів, що характеризують особистість. У лівому стовпчику на листку паперу запишіть якості, бажані для вас, а в правій — небажані. Якості, зміст яких вам незрозумілий, або який ви не можете записати ні в який стовпчик, нікуди не пишіть. Не думайте про те, чи характерна якась якість для вас, чи ні, важливо тільки одне: хочете її мати чи ні».

Друга серія

Завдання другої серії: визначити набір якостей особистості досліджуваного, які, на його думку, йому притаманні, серед обраних еталонних якостей «позитивної» та «негативної» множини.

Інструкція досліджуваному: «Перегляньте уважно слова, які ви записали у лівий та у правий стовпчики та позначте хрестиком або галочкою ті якості, які, на вашу думку, вам притаманні».

Список якостей, що характеризують особистість

Акуратність, безтурботність, вдумливість, запальність, сприйнятливість, гордість, грубість, життєрадісність, турботливість, заздрість, сором'язливість, злопам'ятність, щирість, вишуканість, вередливість, легковірність, повільність, мрійливість, недовірливість, мстивість, настійливість, наполегливість, безпосередність, нервозність, нерішучість, нестриманість, чарівливість, образливість, обережність, чуйність, педантичність, рухливість, підозрілість, принциповість, поетичність, презирливість, привітність, розбещеність, розсудливість, рішучість, самозабуття, стриманість, жалісливість, терплячість, боязкість, захопленість, наполегливість, поступливість, холодність, ентузіазм.

Обробка результатів

Мета обробки результатів: отримати коефіцієнти самооцінки для «позитивної» (СО+) та «негативної» (СО-) множини. Для підрахунку кожного коефіцієнта кількість якостей у стовпчику, що були визначені досліджуваним як притаманні йому (М), ділять на всю кількість якостей у цьому стовпчику (Н). Формули для підрахунку коефіцієнтів виглядають так:

де М+ і М - --- кількість якостей у «позитивній» та «негативній» множинах відповідно,

позначених досліджуваним,  як  притаманні йому; Н+ і Н- --- кількість еталонних якостей, тобто кількість слів правого та лівого стовпчиків відповідно.

Рівень і адекватність самооцінки визначають на основі отриманих коефіцієнтів за допомогою таблиці.

СО+

СО-

Рівень самооцінки

1–0,76

0–0,25

неадекватна, завищена

0,75–0,51

0,26–0,49

адекватна з тенденцією до завищення

0,5

0,5

адекватна

0,49–0,26

0,51–0,75

адекватна з тенденцією до заниження

0,25–0

0,76–1

неадекватна, занижена

Визначаючи рівень самооцінки та її адекватність, важливо враховувати не тільки значення отриманого коефіцієнта, а й кількість якостей, що становлять ту чи іншу множину (Н+ і Н-). Чим менше якостей, тим примітивніший відповідний еталон. Крім того, рівень самооцінки за «позитивною» та «негативною» множиною у деяких досліджуваних може не збігатися. Це потребує спеціального аналізу та може бути зумовлено захисними механізмами особистості.

Аналіз результатів

У двох запропонованих варіантах дослідження самооцінки її рівень і адекватність визначають як співвідношення між «Я» ідеальним та «Я» реальним. Уявлення людини про себе, як правило, здаються їй переконливими незалежно від того, чи засновані вони на об'єктивному знанні, чи на суб'єктивній думці, вони є істинними або помилковими.

Якості, що їх людина приписує собі, не завжди адекватні. Процес самооцінки може відбуватися такими способами:

1)  через порівняння своїх домагань із об'єктивними результатами своєї діяльності,

2)  через порівняння себе з іншими людьми.

Проте, незалежно від того, чи самооцінка обґрунтована власними судженнями людини про себе, чи інтерпретації суджень інших людей, індивідуальні ідеали або культурно обумовлені стандарти, самооцінка завжди має суб'єктивний характер, причому її показниками можуть характеризувати адекватність і міру.

Адекватність самооцінки виражає ступінь відповідності уявлень людини про себе з об'єктивними підставами цих уявлень. Так, наприклад, неадекватність в оцінюванні свого зовнішнього вигляду може бути спричинена, з одного боку, орієнтацією людини на зовнішні стандарти, оцінками та спотвореним уявленням про ці оцінки або незнання їх, з іншого боку.

Рівень самооцінки виражає ступінь реальних та ідеальних або бажаних уявлень про себе. Адекватну самооцінку з тенденцією до завищення можна прирівняти до позитивного ставлення до себе, до самоповаги, прийняття себе, відчуття власної повноцінності.

Низька самооцінка, навпаки, може бути пов'язана з негативним ставленням до себе, неприйняттям себе, відчуттям власної неповноцінності.

Висновки про адекватність і рівень самооцінки можна вважати надійними, якщо результати збігаються за двома варіантами методики та підтверджуються спостереженням.

У процесі формування самооцінки важливу роль відіграє порівняння образу реального «Я» з образом ідеального «Я». Тому той, хто досягає реально характеристик, що відповідають ідеалу, матиме високу самооцінку, навіть якщо ідеальний образ не характеризується повнотою та когнітивною складністю. Якщо ж людина комплексує, розрив між цими характеристиками та реальною оцінкою своїх досягнень, її самооцінка, ймовірно, буде низькою.

Другий фактор, важливий для формування самооцінки, пов'язаний із інтеріоризацією оцінок та соціальних реакцій інших людей, ще з позицією, яку обирає людина в системі суспільних та міжособистісних відносин. Адекватна самооцінка сприяє досягненню внутрішньої узгодженості.

Самооцінка і ставлення людини до себе тісно пов'язані з рівнем домагань, мотивацією та емоційними особливостями особистості. Від самооцінки залежать інтерпретація набутого досвіду та очікувань людини від самої себе та інших.

Внутрішні протиріччя та спотворені уявлення про себе можуть спричинити страждання, почуття провини, сорому, образи, огиди, гніву. Для гармонізації системи самостав-лення існують методи психологічної корекції і розвитку, серед яких — соціально-психологічний тренінг.

За матеріалами:
ПАШУКОВА Т. И., ДОПИРА А. И.,
ДЬЯКОНОВ Г. В.
Психологические исследования.
Практикум по общей психологии.
Учеб. пособие. — М.: Изд-во «Институт
практической психологии», 1996.



передплатний індекс 09881 про видання | реклама у виданні | контакти | попередня версія сайту