головнаконтактна інформація
Персонал - журнал інтелектуальної еліти РУБРИКИ
№ 5/2006 
Персонал № 5/2006
архів номерів
рік: 2008   2007   2006   2005   
2004   2003   2002
Выездные и мобильные фуршеты в спб zepcatering.ru.
Аналітичний щотижневик Персонал-плюс







До проблеми: статистичне забезпечення кредитного ринку (продовження)

Валерій ЗАХОЖАЙ,
доктор економічних наук, професор, директор ІМЕФ

Статистичне вивчення обсягу, складу й динаміки кредитних вкладень і кредитних ресурсів

Кредитні відносини формуються в умовах взаємодії кредитних ресурсів кредитних вкладень. Кредитні ресурси складаються з коштів банків, тимчасово вільних грошових коштів бюджету, підприємств та організацій і населення. Кошти банків складаються зі статутного, резервного і спеціального фондів; кошти підприємств та організацій — із залишків коштів на розрахункових рахунках підприємств, на рахунках капітальних вкладень, із коштів замовників для розрахунків за виконання будівельних, науково-дослідних і проектно-дослідних робіт, а також коштів у розрахунках. Кошти населення — це залишки коштів на рахунках в ощадних і комерційних банківських установах. Кошти банків, тимчасово вільні грошові кошти бюджетних організацій, народного господарства, населення, страхових організацій і ресурси від зовнішньоекономічної діяльності в сукупності становлять позичковий фонд держави. Кредитні ресурси підприємства — це сукупність кредитних коштів, залучених для фінансового забезпечення його функціонування. Залучення кредитних ресурсів для поповнення оборотних коштів збільшує сукупний дохід завдяки віддачі залучених коштів, підвищення ефективності власних оборотних коштів, що дає змогу підприємству ефективніше здійснювати свою господарсько-фінансову діяльність. Кредитні ресурси підприємств формуються на основі потреби в них для формування оборотних коштів (виробничих запасів, запасів готової продукції та товарних запасів, для фінансування інших виробничих потреб) і задоволення інвестиційних потреб.

Основні завдання статистичного забезпечення формування та використання кредитних ресурсів підприємств полягають:

  • у дослідженні кредитних ресурсів як елемента фінансових ресурсів підприємств;
  • в аналізі впливу механізму залучення кредитних ресурсів на ефективність функціонування підприємства;
  • в аналізі впливу факторів зовнішнього середовища і внутрішніх параметрів підприємства на рішення про залучення позичкових коштів;
  • в обґрунтуванні управлінських рішень про залучення кредитних ресурсів.

Кредит сприяє зменшенню часу обороту оборотних коштів підприємства, впливаючи на відтворювальні процеси в економіці.

Модель зв'язку сукупної оборотності оборотних коштів підприємств з оборотністю короткострокового кредиту виглядає так: O = Knd, де О — сукупна оборотність оборотних коштів, розрахованих як відношення обсягу валового внутрішнього продукту до середніх залишків оборотних коштів;

К — розмір валового внутрішнього продукту на грошову одиницю наданих короткострокових позичок;

n — число оборотів короткострокових позичок, обчислених за даними обороту з видачі;

d — частка короткострокових позичок у загальній величині оборотних коштів.

Кредитні вкладення банків — позички, що надають банківські установи підприємствам, організаціям і населенню для виробничого і соціального розвитку. Для характеристики кредитних відносин статистика кредиту використовує показники розміру, складу, динаміки кредитних ресурсів і кредитних вкладень, вивчає взаємозв'язок кредитних вкладень із показниками обсягу виробництва, капітальних вкладень, розміру товарно-матеріальних цінностей.

Напрями аналізу кредитної діяльності базуються на принципах кредитування.

Принципи

Напрями аналізу

Строковості — позика повинна бути повернута позичальником банку в попередньо обумовлений термін

•  Контроль строків
повернення позик
•  Визначення розмірів
заборгованості
•  Порівняння простроченої
заборгованості з коштами на рахунках клієнтів
•  Аналіз оборотних позик

Забезпеченості позик — захист інтересів банку і недопущення збитків від неповерне-ння боргів через неплатоспроможність позичальника

Оцінка кредитоспроможності клієнта

Платності — за корис-тування позикою вста-новлюється відсотко-ва плата. Рівень від-соткових ставок, які встановлює комерцій-ний банк, залежить від терміна користування позикою і від ступеня ризику, що виникає у зв'язку з кредитною операцією

•  Аналіз складу і динаміки
приватних ставок
•  Аналіз формування
прибутку від відсоткових
ставок і обсягів позик
•  Аналіз ролі кредитної
діяльності у формуванні
прибутку і прибутковості
банківської діяльності

Кредит — важлива економічна категорія. Він забезпечує трансформацію грошового капіталу в позичковий та відображає відносини між кредиторами та позичальниками. Його внутрішня суть проявляється в структурі, видах і функціях та закономірностях руху.

Кожен вид кредиту характеризує певну грань його внутрішнього змісту, а в сукупності види кредитів дають чітке уявлення про структуру кредиту і його рух у межах товарної і грошової форм.

Узагальнену класифікацію кредитів наведено в табл. 1.

Таблиця 1 Класифікація кредитів

Параметри

Види кредиту

за видами кредиту

• національний
• міжнародний
• банківський
• державний
• комерційний
• споживчий
• лізинговий
консорціумний

за сферами спрямування

• спрямований у сферу обороту
спрямований у сферу виробництва

за призначенням і характером використання позичкових коштів

• позички торгово-промисловим
підприємствам
• кредити під нерухомість
• споживчі та сільськогосподарські
позички
• кредит під цінні папери та кредити,
пов'язані з вексельним оборотом
• контокорентний кредит та між-
банківські позички
• позички небанківським фінансовим
установам та позички органам влади

за характером забезпечення

• забезпечені (ломбардні), гаранто-вані (банками, третьою особою)
незабезпечені (бланкові)

за строками використання

• строкові
безстрокові
прострочені
• відстрочені

за кількістю кредиторів

• надання кредитів одним банком
синдиковані, консорціальні
• паралельні

Наведена класифікація не є вичерпною, оскільки кредити можна класифікувати і за іншими параметрами й ознаками.

За характером і способом сплати відсотків виділяють позики з:

  • фіксованою відсотковою ставкою;
  • плаваючою відсотковою ставкою;
  • сплатою відсотків у міру використання позичених коштів (звичайні позики);
  • сплатою відсотків одночасно з отриманими позиченими коштами (дисконтний кредит).

За методами надання розрізняють:

  • позики, які надано у разовому порядку;
  • позики, які надано відповідно до відкритої кредитної лінії;
  • гарантовані кредити.

Для аналізу кредитної діяльності кредити поділяють за:

  • позичальниками;
  • строками надання кредитів;
  • ступенем ризику;
  • наявністю і характером забезпечення позики;
  • об'єктами кредитування.

Інформаційно-аналітичне забезпечення менеджменту кредитної діяльності банків включає такі показники:

1.   Обсяг погашених позичок — кредитовий оборот (КО) — загальний КОзаг, зокрема за сумою прострочених позичок — КОпр.

2.   Залишок позичок загальний (Ззаг), зокрема за рахунками прострочених позичок (Зпр) на початок періоду (Зп), на кінець періоду (Зк).

3. Обсяг виданих позичок — В.

Балансовий зв'язок між цими показниками:

Зп+В=КО+Зк .

Серед основних проблем кредитної діяльності банків у сучасних умовах — несвоєчасне погашення наданих позик. У процесі аналізу своєчасності повернення кредитів треба:

  • визначити загальну суму простроченої заборгованості за позиками банку і відсотків за ними;
  • проаналізувати зміни цієї суми в динаміці;
  • розглянути структуру простроченої заборгованості у розподілі клієнтів;
  • проаналізувати давність її виникнення;
  • з'ясувати причини виникнення простроченої заборгованості у кожному випадку;
  • визначити суму і частку кредитів у загальній сумі кредитів;
  • проаналізувати заходи, яких вживає банк для стягнення простроченої заборгованості і відсот-ків.

Аналіз погашення позик проводять за обсягом прострочених позик, переоформлених кредитів, резервів на покриття сумнівних боргів за кредитами та фактами списання безнадійних позик. Структуру «кредитного портфеля» банку можна вважати задовільною, якщо питома вага кредитів без забезпечення, сумнівних до повернення, прострочених і пролонгованих становить не більше 30%. За вищої частки «проблемних» кредитів кредитну діяльність банку оцінюють як «ризиковану».

На основі цих абсолютних показників обчислюють такі відносні показники:

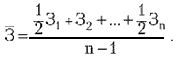
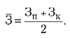
1. Середній залишок позичок за певний період за наявності даних на початок і кінець періоду — за формулою

а за наявності даних на більш ніж два терміни через однакові відрізки часу — за формулою

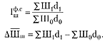
2.  Частку несвоєчасно повернутих позичок (Ппн) в загальному обсязі погашених позик (Пзаг) визначають за формулою

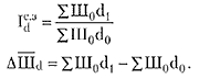
3.  Частку простроченої заборгованості в загальному обсязі заборгованості — за формулою

4.  Частку кредитового обороту за простроченими позичками (КОпр) у загальному обсязі кредитового обороту (КОзаг) — за формулою

5.   Частку кредитів, наданих одному клієнтові або певній групі клієнтів (КРi) — за формулою

6.   Середню тривалість прострочених позичок — за формулою

Ці показники використовують для аналізу оборотності кредитної маси — важливої характеристики кредитної діяльності.

Аналіз оборотності позик доцільно починати з порівняння дебетових та кредитових оборотів за позиковими рахунками. Якщо дебетовий оборот значно перевищує кредитовий, то це свідчить про небезпечну політику банку з нарощування видачі позик в умовах несвоєчасного їх повернення. Якщо така тенденція простежується впродовж кількох років, це неминуче призведе банк до значних фінансових труднощів, і політику в галузі кредитної діяльності доведеться докорінно змінювати.

Поняття оборотності позик засноване на загальному понятті оборотності оборотних коштів, яку розраховують як відношення виручки від реалізації (оборот за певний період) до середніх залишків оборотних коштів. Кредитний оборот оцінюють за якийсь певний період, а залишки позик фіксуються на певну дату. Для порівняння розраховують середні залишки позик.

Рівень оборотності позики вимірюється двома показниками: кількістю оборотів позики за певний період і середньою тривалістю користування позикою.

Кількість оборотів позики, або швидкість обороту (Ш), визначають за допомогою ділення обороту позики з погашення кредиту на середній їх залишок:

Ш=КО/З

Економічний зміст швидкості обороту позики полягає в тому, що він характеризує середню кількість оборотів короткострокової позики за певний період.

Тривалість користування короткостроковою позикою, або час обороту (Ч), визначається за формулою

t=ЗД/КО

де Д — кількість днів у періоді.

Цей показник характеризує середню кількість днів користування позикою. Він є зворотною величиною до швидкості обороту позики: чим менша тривалість користування позикою, тим менша сума позик, які необхідні банку для кредитування одного й того ж обсягу діяльності.

Якщо відома тривалість користування позикою, то кількість оборотів позики можна визначити на основі взаємозв'язку цих показників за формулою

Ш=Д/t

Наведений показник демонструє, за скільки днів позики проходять повний оборот. Ці два показники перебувають в оберненій залежності — із збільшенням швидкості обороту тривалість одного обороту позики зменшується. Унаслідок підвищення швидкості обороту позик із нього вивільняються кредитні ресурси, які, у свою чергу, можуть бути залучені в інші активні операції банку та приносити додатковий прибуток.

На зменшення тривалості одного обороту (тобто прискорення оборотності кредитів) впливають зниження сум заборгованості за позиками, збільшення сум погашення позик та зміна середньої відсоткової ставки за кредитами. (Методика розрахунку обороту ґрунтується на основі визначення доходу від кредитних операцій з урахуванням суми сплачених відсотків за ними).

Додаткове звільнення кредитних ресурсів — економія Ек або, навпаки, додаткове їх залучення розраховують за формулою:

тобто різницю тривалості одного обороту множать на базисний одноденний оборот позик.

Для аналізу оборотності кредитів використовують різні статистичні методи і прийоми. Характеристики швидкості оборотності кредиту в окремих банківських закладах або господарських організаціях можна одержати за допомогою показників динамічного ряду: темпів росту та приросту, абсолютного приросту тощо.

Вплив швидкості обороту позики для окремих груп клієнтів або відділень банку на середню швидкість для банку в цілому вивчають за допомогою індексного методу, зокрема індексів середніх величин. До системи цих індексів належать індекси змінного, фіксованого складу та структурних зрушень.

Індекс швидкості обороту позик змінного складу визначається за формулою

де Ш0, Ш1 — швидкість обороту позик для окремих груп клієнтів або відділень банку відповідно в базовому і звітному періодах;

d — питома вага залишків позик для цих груп у загальному обсязі залишків.

Індекс швидкості — це відношення середнього рівня швидкості обороту позики за сукупністю клієнтів або підрозділів банку в звітному періоді до рівня базового періоду.

Індекс швидкості фіксованого складу визначається за формулою

Цей індекс визначає, як змінилась середня швидкість обороту позик у банку за звітний період порівняно з базовим тільки завдяки зміні швидкості в окремих підрозділах банку.

Індекс швидкості структурних зрушень визначається за формулою

Індекс показує, як змінилася середня швидкість обороту позик у банку в цілому тільки завдяки зміні розподілу залишків позик між підрозділами банку, тобто завдяки зміні питомої ваги позик у підрозділах банку.

Індекси часу обороту кредитів розраховують за аналогічними формулами, де за вагу беруть частку кредитного обороту окремих підрозділів банку.

Зв'язок між індексами — мультиплікативний:

а зв'язок між змінами в абсолютному вираженні — адитивний:

Факторами, які формують динаміку кредитового обороту, є швидкість обороту кредитів і середній залишок позик.

Абсолютний розмір зміни кредитового обороту передбачає:

динаміку швидкості обороту кредитів, яку визначають за формулою

динаміку середніх величин позик — за формулою Ці показники пов'язані між собою:

Факторами, які впливають на швидкість обороту кредитної маси, є динаміка кредитового обороту та середніх залишків позик. Динаміку швидкості обороту позик під впливом кредитового обороту обчислюють за формулою

а динаміку середніх залишків позик за формулою

Взаємозв'язок між показниками:

(Продовження у наступному номері)


* Продовження. Початок у № 4 за 2006 р.



передплатний індекс 09881 про видання | реклама у виданні | контакти | попередня версія сайту